Publications

As corresponding author

(15)

Optimization of α-fluoro, β-heteroaryl acrylamide warheads for KRAS G12C active state inhibition

Matthew L. Condakes, Rita L. Civiello, Brian L. Venables, Derek B. Danahy, Richard R. Moore, Srividya B. Balachander, Lisa Chourb, Daniel P. Downes, Dieter M. Drexler, Liudmila Dzhekieva, Miriam El-Samin, Sirish Kaushik Lakkaraju, Christopher G. Levins, Matthew J. Meyer, Katherine Mosure, Michael F. Parker, Jie Qi, Jack L. Sloane, Matthew Soars, Justin Stedman, Nicolas Szapiel, Rebecca L. Thompson, Yong-Jin Wu, Zhuo Zhang, Xiaoliang Zhuo, Michelle L. Stewart, and Joanne J. Bronson

Chemical diagram illustrating the design process of covalent KRAS G12C inhibitors, showing substitution and replacement of warhead groups to optimize properties like potency, clearance, and efficacy.

J. Med. Chem. Submitted


(14)

Optimization of covalent warhead trajectory for KRAS G12C active state inhibition

Matthew L. Condakes, Rita L. Civiello, Sirish Kaushik Lakkaraju, Jack L. Sloane, Lisa Chourb, Daniel P. Downes, Dieter M. Drexler, Liudmila Dzhekieva, Miriam El-Samin, Christopher G. Levins, Matthew J. Meyer, Katherine Mosure, Michael F. Parker, Jie Qi, Max Ruzanov, Steven Sheriff, Justin Stedman, Nicolas Szapiel, Rebecca L. Thompson, Zhuo Zhang, Xiaoliang Zhuo, Michelle L. Stewart, and Joanne J. Bronson

J. Med. Chem. Submitted

Chemical structure diagram showing the optimization of a KRAS G12C covalent inhibitor's trajectory .

(13)

Covalent inhibitor design confers activity against both GDP- and GTP-bound forms of KRAS G12C

Matthew L. Condakes, Zhuo Zhang, Derek B. Danahy, Richard R. Moore, Sirish Kaushik Lakkaraju, Xiaoliang Zhuo, Yuka Amako, Robert M. Borzilleri, Srividya B. Balachander, Lisa Chourb, Rita L. Civiello, Ashok R. Dongre, Daniel P. Downes, Dieter M. Drexler, Brianne M. Dudiak, Liudmila Dzhekieva, Miriam El-Samin, Brian E. Fink, Kosea Frederick, Cherrie Huang, Javed Khan, Emma Lees, Christopher G. Levins, Courtney McCarthy, Gabriel A. Mintier, Katherine Mosure, Michael F. Parker, Ryan Powles, Jie Qi, Max Ruzanov, Sanya Sharma, Steven Sheriff, Ashish K. Singh, Justin Stedman, Nicolas Szapiel, Rebecca L. Thompson, Wayne Vaccaro, Tai Wang, Tianfu Yang, Dan You, Matthew J. Meyer, Joanne J. Bronson, and Michelle L. Stewart

Nat. Comms. Accepted

An illustration showing a molecular diagram of a unique mechanism of covalent inhibition on the left and a 3D molecular structure with colored spheres, ribbon structures, and surface models on the right.

(12)

New Chemical Entities Entering Phase III Trials in 2022

Matthew L. Condakes, Jennifer Jiang, David W. Lin, Rhiannon Thomas-Tran, Juan del Pozo, and Christiana N. Teijaro

Chapter 23 in 2023 Medicinal Chemistry Reviews, 577-592.

Cover of the 2023 Medical Chemistry Reviews, Volume 58, featuring scientific illustrations of molecules and the division of Medical Chemistry logo.

(11)

New Chemical Entities Entering Phase III Trials in 2021

Matthew L. Condakes, Anne E. Hurtley, David W. Lin, Rhiannon Thomas-Tran, and Juan del Pozo

Chapter 23 in 2022 Medicinal Chemistry Reviews, 571-585.

Cover of the 2022 Medicinal Chemistry Reviews, Volume 57, edited by Joanne J. Bronson and Joachim Rudolph. Contains molecular models of chemical structures and the Division of Medicinal Chemistry logo.

(10)

Thermodynamic Understanding of an Aza-Michael Reaction Enables Five-Step Synthesis of the Potent Integrin Inhibitor, MK-0429

Anya Gupta, and Matthew L. Condakes

Chemical reaction scheme showing a gerneral aza-Michael reaction, with chemical structures, reaction conditions, yields, and a pharmaceutical compound, MK-0429. Includes text about examples, yield percentages, and the compound's medical application.

(9)

New Chemical Entities Entering Phase III Trials in 2020

Matthew L. Condakes, Alec H. Christian, Anna E. Hurtley, David W. Lin, Rhiannon Thomas-Tran, and Karl Haelsig

Chapter 20 in 2021 Medicinal Chemistry Reviews, 663-681.

Cover of the 2021 Medicinal Chemistry Reviews, Volume 56, featuring a molecular model on a light green background and the ACS Division of Medicinal Chemistry logo.

(8)

New Chemical Entities Entering Phase III Trials in 2019

Matthew L. Condakes, Anna E. Hurtley, David W. Lin, Gregory T. Notte, Vickie Tsui, Nathan E. Wright, and Alec H. Christian

Chapter 26 in 2020 Medicinal Chemistry Reviews, 607-623.

Cover of the 2020 Medicinal Chemistry Reviews, Volume 55, featuring 3D molecular structures of chemical compounds and the logo of the Division of Medicinal Chemistry of the American Chemical Society.


Supervised work

(7)

Development of a Terpene Feedstock-based Oxidative Synthetic Approach to the Illicium Sesquiterpenes

Kevin Hung, Matthew L. Condakes, Luiz F. T. Novaes, Stephen J. Harwood, Takahiro Morikawa, Zhi Yang, and Thomas J. Maimone

illicium full article graphic

(6)

A Copper-catalyzed Double Coupling Enables 3-Step Entry into the Quassinoid Core Architecture

Matthew L. Condakes, Rachel Z. Rosen, Stephen J. Harwood, and Thomas J. Maimone

Chemical reaction schemes showing a process involving a palladium-catalyzed coupling to form a distereoselective diol, with annotations indicating one-pot, 20 examples, and diastereoselective, along with a second scheme illustrating a multi-step synthesis involving five C-C bonds

(5)

Contemporary Synthetic Strategies Toward Seco-Prezizaane Sesquiterpenes from Illicium Species

Matthew L. Condakes, Luiz F. T. Novaes, and Thomas J. Maimone

Chemical structures of jiadifenin, jiadifenolide, seco-prezizaane sesquiterpenes, anisatin, and majucin.

(4)

Total Syntheses of (–)-Majucin and (–)-Jiadifenoxolane A, Complex Majucin-Type Illicium Sesquiterpenes

Matthew L. Condakes, Kevin Hung, Stephen J. Harwood, and Thomas J. Maimone

J. Am. Chem. Soc. 2017, 139, 17783-17786. ACS Editors’ Choice; JACS Spotlight; ACS Select

majucinoids graphic

(3)

Navigating the Chiral Pool in the Total Synthesis of Complex Terpene Natural Products

Zachary G. Brill, Matthew L. Condakes, Chi P. Ting, and Thomas J. Maimone

chiral pool review graphic

(2)

Oxidative Entry into the Illicium Sesquiterpenes: Enantiospecific Synthesis of (+)-Pseudoanisatin

Kevin Hung, Matthew L. Condakes, Takahiro Morikawa, and Thomas J. Maimone

pseudoanisatin graphic

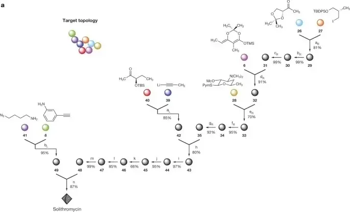
(1)

A platform for the discovery of new macrolide antibiotics

Ian B. Seiple, Ziyang Zhang, Pavol Jakubec, Audrey Langlois-Mercier, Peter M. Wright, Daniel T. Hog, Kazuo Yabu, Senkara Rao Allu, Takehiro Fukuzaki, Peter N. Carlsen, Yoshiaki Kitamura, Xiang Zhou, Matthew L. Condakes, Filip T. Szcypinski, William D. Green, and Andrew G. Myers

Diagram of a chemical synthesis pathway for fully synthetic macrolides with various molecular structures, reactions, and target topology.

Published Patent Applications

(5) Chu, H.; Reisberg, S. H.; Zajdlik, S. H.; Yang, K. S.; Carelli, J. D.; Condakes, M. L.; Harwood, S.; Thompson, P. A. Cysteine covalent modifiers of akt1 and uses thereof. WO2025217336A1, Oct. 16, 2025.

(4) Condakes, M. L.; Civiello, R. L.; Bronson, J. J.; Fink, B. E.; Parker, M. F. KRAS G12C Inhibitors. WO2025122619A1, June 12, 2025.

(3) Condakes, M. L.; Civiello, R. L.; Bronson, J. J.; Parker, M. F. KRAS Inhibitors. WO2024036270A1, February 15, 2024.

Highlighted in ACS Med. Chem. Lett. 2024, 15, 1201.

(2) Condakes, M. L.; Civiello, R. L.; Bronson, J. J. Tetrahydropyrido 3,4-d pyrimidine derivatives as KRAS inhibitors. WO2023240189A1, December 14, 2023.

(1) Condakes, M. L.; Civiello, R. L.; Bronson, J. J.; Parker, M. F. Pyrido[4,3-d] pyrimidine derivatives as KRAS inhibitors. WO2023240188A1, December 14, 2023.